Skip to content

November 2017 Updates

Published On:
Nov 29, 2017
Last Updated:
Nov 29, 2017

New Auto (Specifier) page under Programming->Languages->C++.

New Streams page under Programming->Languages->C++.

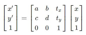
New Affine Transformations page under Mathematics.

The standard form of a affine transformation matrix.

New Projective Transformations page under Mathematics.

A quad-to-quad transformation of an image, going from a rectangle to a complex non-rectangular quadrilateral with no parallel edges.

New GCC Profiling page under Programming->Compilers->GCC.

A profile of the execution time of the example code. Graph was created using gprof and the gprof2dot tool.

New Premade Recipes page under Programming->Embedded Linux->Yocto.

Updated the Python SWIG Bindings From C++ page with a tutorial on how to pass (and call) callbacks from Python code to C++ code, and information on custom typemaps and typechecks (with working code examples).

New BlogAssets repository and a central place to store all code examples/diagram source files for this website.

A screenshot of the GitHub BlogAssets repository.

New Visual Studio Code page under Programming->Integrated Development Environments (IDEs).

The icon for Microsoft’s Visual Studio Code.

Fixed many of the broken links (approx. 60) on this blog, via the help of the great Wordpress plugin Broken Link Checker.

Added new [Git Subtrees page](/programming/version-control-systems/git/git-subtrees) under Programming->Version Control Systems->Git.

Created a new repo called CppTemplate (on GitHub), with the purpose being for it to provide a way to quick start development on a new C++ project.

New [GCC Code Coverage pa/programming/compilers/gcc/gcc-code-coverage/rage) under Programming->Compilers->GCC.