Skip to content

May 2022 Updates

Published On:
May 31, 2022
Last Updated:
May 31, 2022

Updates This Month

Updated the PID Control page.

Added more info on SMA filters, including the recursive SMA algorithm and plots showing SMA filters working on noisy data. Also moved info on moving average filters onto it’s own page.

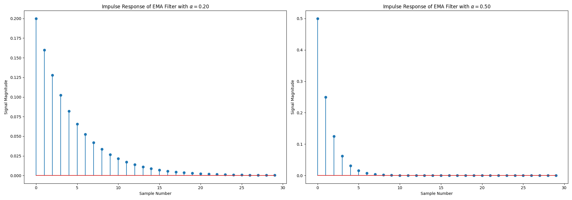
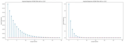
Added info on the impulse response of a IIR EMA filter.

Added info on handling embedded firmware errors in C++ constructors.